来源:互联网 更新时间:2025-11-02 10:13
近日,Economics Letters发布了“FromZerotoHero: Memecoins’SpilloverEffectsinCryptocurrencyMarkets”一文。

政治动态日益影响金融市场,而加密货币市场已经成为政治与金融交汇的显著场域。
2024年美国总统大选进一步突显了这种关系,共和党候选人唐纳德·特朗普(Donald Trump)前所未有地转向支持数字资产。他宣称将使美国成为“地球上的加密货币之都”,并将加密货币置于其经济议程的核心,市场由此预期在其任期内将有更为友好的政策立场。
这些预期于2025年1月18日得以实现,特朗普在Solana区块链上发行了其官方Meme币($TRUMP)。
在24小时内,$TRUMP的价格暴涨900%,交易量高达180亿美元,市值超越当时最大Meme币DOGE 40亿美元之多。
次日,与第一夫人相关联的Meme币$MELANIA的发行进一步助推了市场投机。这些事件不仅具有投机性质,更构成了一次显著的外生性冲击,其影响超出了金融投机范畴,发出了更广泛的监管与政治议程信号。
本研究的目的在于检验这一事件如何同时作为政治信号与金融事件影响加密货币市场。本文聚焦于三个关键问题:
$TRUMP的发布如何影响主要加密货币的收益与波动率?此事件是否在加密货币市场内引发了金融传染效应?这种影响是否具有异质性,表现为不同加密货币根据其技术基础、用途或投机吸引力的不同而产生不同反应?为了回答这些问题,本文采用Baba-Engle-Kraft-Kroner(BEKK)多变量广义自回归条件异方差(MGARCH)模型,该模型特别适用于分析波动率与相关性随时间的动态关系。
本文选取了市值排名前十的加密货币进行实证研究,发现特朗普Meme币的发布后,加密资产间存在显著的波动率溢出效应,表明市场中存在金融传染现象。事件引发了市场动态的重大转变,其中Solana与Chainlink由于其基础设施和战略关联而录得最大涨幅。而比特币(Bitcoin)与以太坊(Ethereum)等主流加密货币则表现出较强的韧性,其累计异常收益(CARs)与方差在事件后期趋于稳定。相反,诸如Dogecoin和Shiba Inu等其他Meme币则出现贬值,资金很可能转向了$TRUMP。
确实,$TRUMP的发行发生在美国高度政治分化的环境中,特朗普这一品牌本身就与强烈的政治情绪密切相关,从而提高了投资者的敏感性,加剧了市场反应。对一些投资者而言,特朗普的背书象征着一次独特的投机机会,催生了强烈的“跟风效应”;而另一些投资者则因其具有争议的形象而意识到政治与监管风险,采取更为谨慎的立场。这种分化解释了所观察到的高度波动性与差异化市场反应——从对预期政治支持的热情,到对声誉与政治不确定性的怀疑。
近年来,加密货币市场中的传染效应日益受到关注,因为它们对金融稳定、风险管理与投资组合多样化具有重要意义。既有研究主要聚焦于加密货币内部之间的溢出,或加密货币与传统金融资产之间的溢出,揭示了连接性、传染风险与波动传导的模式。然而,这些研究大多关注金融或技术性诱因,如市场崩盘、流动性约束或区块链创新。政治信号,尤其是与政治关联代币相关的传染机制,仍属研究空白。
本研究是首个分析政治关联型代币对加密货币市场影响的论文。它拓展了对政治叙事如何影响去中心化金融市场的理解。此外,与以往研究多集中于负面冲击(如比特币价格崩盘、Terra-Luna崩盘、FTX或硅谷银行破产不同,本研究聚焦于由政治信号驱动的正向冲击对市场的影响。尤其值得注意的是,有证据表明正面冲击对加密货币的波动影响甚至高于负面冲击。最终,本研究向学界、从业者与政策制定者提供重要参考,揭示政治关联代币的市场反应异质性,并强调资产特征如何影响金融传染动态。
本研究使用的是每分钟收盘中间价(close mid-price)的专有数据,涵盖了市值排名前20的加密货币中最具代表性的10种:比特币(Bitcoin,BTC)、以太坊(Ethereum,ETH)、瑞波币(Ripple,XRP)、Solana(SOL)、狗狗币(Dogecoin,DOGE)、Chainlink(LINK)、Avalanche(AVAX)、柴犬币(Shiba Inu,SHIB)、Polkadot(DOT)与莱特币(Litecoin,LTC)。数据来源为Gemini交易所,这是一个被前期研究广泛使用的美国中心化交易平台,具体数据从LSEG Tick History数据库中获取。
本数据集包含共计20,160条观测,时间区间为2025年1月11日至2025年1月25日,涵盖了特朗普官方Meme币发布(2025年1月18日)前后一周对称的时间段,便于进行事件前后比较分析。
按照既有文献的做法,本研究使用如下公式计算加密货币收益率:
收益率=ln(Pt∕Pt−1)
其中Pt表示时间t 的数字资产价格。
事件时间定义为2025年1月18日协调世界时(UTC)凌晨2:44,该时点为首次正式宣布新任美国总统的官方Meme币发布。计算累计异常收益,用于评估信息级联效应。本文从2025年1月1日至2025年1月10日的收益中计算每种加密货币的平均基准收益,以代表一个相对稳定的样本前期。接着,从样本期内的实际收益中减去这一基准,得出市场基准上的超额收益,并通过累加得出CARs。
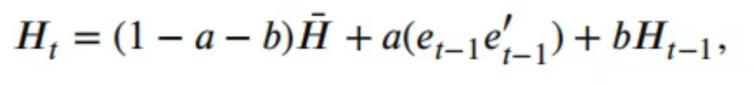
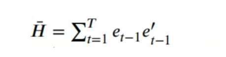
使用BEKK-MGARCH模型来分析特朗普Meme币的推出对加密货币市场的影响。假设对数收益服从均值为零、条件协方差矩阵为Ht的正态分布,模型设定如下:

其中,

H表示无条件协方差矩阵。参数矩阵满足a,b>0,且a+b<1,以确保模型的平稳性与正定性。随后,进行传染效应检验。考虑到使用高频数据时可能出现的第一类错误问题,本文采用了较为严格的显著性水平α=0.001。
本节图表提供了初步分析结果,用于揭示加密资产之间的相互关系,这些关系是通过BEKK-MGARCH模型估算得到的。在图1(b)所示的协方差结构中,资产之间的相互关联性在事件发生后的阶段显著增强。这一发现支持了“事件引发了波动率溢出效应”的假设。同样,图1(a)显示在相同期内平稳对数收益的波动幅度增加,反映出市场不稳定性上升与调整速度加快的现象。所有图像右侧面板均显示出各加密资产的收益在该事件期间均发生剧烈波动,进一步强调了此次事件的系统性影响。

表1展示了通过BEKK-MGARCH模型估算的动态条件协方差,并附有相应的t检验统计量,用以验证是否存在传染效应。结果表明,该事件在加密货币市场中确实引发了金融传染与波动率溢出效应。大多数事件后期的协方差系数在显著性水平0.001处显著,尤其是像ETH、SOL和LINK这样的资产对之间,其协方差显著上升,显示出更强的联动性与更高的市场整合程度。相比之下,SHIB和DOT虽然也达到了0.01的显著水平,但影响较弱。另有一些资产如LTC和XRP在事件后协方差反而下降,说明溢出效应并非在所有资产之间均匀分布。整体来看,结果突显了此次Meme币发行事件对整个加密货币市场的结构性影响。

在已证实加密资产之间存在异质性影响的基础上,本节通过累计异常收益(CARs)的分析,进一步揭示了特朗普Meme币发行引发的信息级联效应。结果表明,该事件对市场动态具有显著的结构性影响,表现为资产特定的反应路径与加剧的波动性。
图2展示了样本期间内所分析加密资产的CARs。在事件前阶段,大多数加密货币都经历了正向收益,可能受到投机性预期的推动,或者市场对特朗普可能当选为第47任美国总统所持的乐观态度。这说明,即使在缺乏确凿信息的情况下,投资者已表现出明显的投机性买入行为,这一现象符合加密货币市场中被广泛记录的“错失恐惧症”特征。
在事件发生后的阶段,有三种关键动态表现尤为突出:
SOL表现优异,超过其他所有资产,这很可能与其作为特朗普Meme币承载区块链的直接技术关系有关。LINK亦表现强劲,可能与其与美国大型科技公司Oracle的关联性有关。比特币、以太坊、瑞波币、莱特币等成熟加密货币在经历了温和上涨后逐步稳定,反映出其市场韧性与对级联性投机影响的相对绝缘性。与此同时,DOGE与SHIB等其他Meme币则显得特别脆弱,表现出一种明显的资产替代效应,即投机性资金从旧有Meme币转向了新发行的特朗普代币。尽管AVAX与DOT具有坚实的技术基础,它们也未能幸免于此类资本转移趋势,呈现出价值流失的迹象。

图3进一步清晰显示出,特朗普Meme币发行这一外生性冲击如何打破了事件前的市场共动性格局。事件发生前,各资产间呈现较高的协同波动性;而在事件发生后,不同资产的CARs出现剧烈分化,从Solana的+20%到Dogecoin与Shiba Inu的−20%不等。

本节结果揭示出:资产特定的叙事、技术关联性以及投资者主观认知,可在重大信息冲击发生时显著放大资产间收益的差异性反应。
抖音如何发视频才有收益?如何靠播放量在抖音赚取收益?
快手发布作品的步骤是什么?快手发布作品有什么技巧?
抖音发视频怎么定时?定时发布有用吗?
归龙潮头衔有哪些
归龙潮长命锁涂鸦在什么地方
原神龙与山任务怎么做
抖音爆款怎么打造产品?爆款打造产品是什么?
抖音话题热榜在哪里看?吸引人的话题有哪些?
百家号怎么设置密码登录?百家号是什么样的平台?
西贝称用X光为冷冻大黄鱼去刺 会有辐射残留吗
抖音发布视频没有流量了要怎么弄?它的推流机制是什么?
第五人格破轮怎么玩
蛋仔派对扳手大战通关攻略
快手作品定时发布在哪里设置?定时发布教程如何发布?
三角洲行动治疗操作指南
鸣潮2.7版本更新公告
蚂蚁庄园今日答案
抖音定时关闭设置步骤有哪些?设置定时关闭有什么作用?
枣庄辣子鸡月饼火了 没到农历八月预订5000斤
百家号注册技巧有哪些?有哪些注意事项?
手机号码测吉凶
本站所有软件,都由网友上传,如有侵犯你的版权,请发邮件haolingcc@hotmail.com 联系删除。 版权所有 Copyright@2012-2013 haoling.cc